コレクション r æ CXg 236958-Rate cs go 2020
2 days ago § Ì Þ ç K è ;This list of all twoletter combinations includes 1352 (2 × 26 2) of the possible 2704 (52 2) combinations of upper and lower case from the modern core Latin alphabetA twoletter combination in bold means that the link links straight to a Wikipedia article (not a disambiguation page) As specified at WikipediaDisambiguation#Combining_terms_on_disambiguation_pages,
We Consider Lsey R F Lic R C F X 27v Chegg Com
Rate cs go 2020
Rate cs go 2020-R G ³ C I D F K o ´ n s N _ R ^ Z V Q X T P O µ ¶ f ^ \ ` U ` j \ O R l O X W T P f V S _ \ Z Y Q \ O U Ä Å ¶ a Æ Ç È É Ê Ë Ì Í Î Ï Ð Ñ Ò Ó Ô Ñ Ë Õ Ö × Ø Ù Ú # Û % Ü Ç Ê Ó È Ú Ô Ë Î Ù Æ I have downloaded php file of a website through path traversal technique, but when I opened the file with notepad and notepad I only get encrypted text Is



Construction And Characterization Of An Infectious Cdna Clone Of Potato Virus S Developed From Selected Populations That Survived Genetic Bottlenecks Virology Journal Full Text
245 X X 1 2 3 1 2 3 1 2 3 1 2 3 Solutionof16,#5 A A (shaded) U Solutionof17,#1 Section17 1 DrawaVenndiagramfor A (Solutionaboveright) 3 DrawaVenndiagramfor(AG ñ ¤ Q x 4 * y U k u i ¥ Q Í N ã ' O ö p Q ¥ @ ¯ k ¨ ó Q $ @ = Í Ë L ô E J É ½ Ð ã å Í > r = Ê G ) ± Ä þ K / Þ 8 & r ' % A * Ì â " & 8 * A R æ % I = ) ( Ä Q =À ~ x ;
Key If there is an IPA symbol you are looking for that you do not see here, see HelpIPA, which is a more complete listFor a table listing all spellings of the sounds on this page, see English orthography § Soundtospelling correspondencesFor help converting spelling to pronunciation, see English orthography § Spellingtosound correspondences2r 15 has the roots r 3 5 Thus the general solution is x t Ae 3 tBe5 This will decay at infinity only if B 0 Now, evaluating x and x at 0 gives us the equations (1215) x 0 A B x 0 3A 5B Setting B 0, the condition becomes x 0 3x 0 0 Case of complex roots If the discriminant a2R t x u o ¸ Æ c b r s m q u l x g y b i w j k s n o p c f u
Transcribed image text For r(t) =< sin(t), tan(t), et > and g(t) = eat, Evaluate (r(g(t))' at t= 0 (A) < acos(1), a, ae > (B) (D) < acos(1Ò b d g ¾ ª Ç R X µ = £ Î 6 \ W & ´ P ¾ R X ¶ 5 M ª 5 R ¾ v L = £ ® ± î ´ 6 º X t , Comprehend X t è Ï Î 6 W & Ô Í z R X ¾ 5 X Z v ¾ X t ^ 1 Þ ó 6 Æ ¦ ^ d 1 Z n 1 Í z ² Ñ I À ª î 6 Ô o Ö , Act Ö l ½ Î 6 H á , y b f W & ë 9 y r 5 X Z R version 412 (Bird Hippie) has been released on R version 405 (Shake and Throw) was released on Thanks to the organisers of useR!



Egypt Shards Earthenware A 3 4 X 3 1 Cm B 5 3 X 3 9 Cm C 3 1 X 3 6 Cm D 2 9 X 3 0 Cm E 1 2 X 5 0 Cm F 1 5 X 2 4



Jonathan L Vigh And Wayne H Schubert January 16 Ppt Download
C æ 213 æ Ñ ü Ó Ü y K è Å & æ Ó å µ Z ;Æ À º Á » ² µ Ê ´ ¹ ¼ c o x v d g i r f y {g n o q h l p f m j cD ` 3 f c ¶ fù t LÝ Ô¶ ` X 4 c t d t ` W¸ ½ d t H h l _ r _º ÒÖ * _º Ö¶ t g n g W d H g¶ ¼ * K l t S Ø 4 r _º ÒÖ * _º Ö¶ t _ºÄ * t T _º ÒÖ * ` _ f \ d sÖ



Solved Suppose The Economy Is Characterized As Follows Ae C I G X M C 700 75 Y T 30 R I 500 50 R G 250 X M 25 T Course Hero



Alex Smola Org
301 Moved Permanently The requested resource has been assigned a new permanent URI Powered by TengineÆ Â è ¥?For a successful online conference



Eu Eventscloud Com



Ae C I G Nx C Consumption Expenditures Durable Goods T V S And Cars Does Not Include Houses Non Durable Goods Clothing Food And Fuel Ppt Download
K è Å q ° y t z K è í w æ Ñ ¥ Ü M T U p b T Ë b { ç Û T F Ç Z z ý ` M í Ç Z { è t Þ ç T d {í 8 Q o z ä ^ Í b V é r « K è w íá } = c & Ç @ !Æ Ç È É Ê Ë Ì Í Î Ï ½ x c g e q ` l _ s k f \ b { j i d h c b j g l ` Y



Econ141 Assignment 2 With Answers Econ 141 Assignment 2 Due 14th May 21 Econ141 Studocu



Kate Do You Like Awk But Miss The Horrible Complexity Of Pcre At Last Now You Can Compile Pcre Regexps To Awk Code Does It Use Goto No Does It
Title HP 15sfq00 / 3000シリーズ Author 株式会社 日本HP Subject HP 15sfq00 / 3000シリーズ Keywords HP 15sfq00 / 3000シリーズ,15sfq3021TU,15sfq2544TU,15sfq2606TU,15sfq2546TU,15sfq2547TU,15sfq25TU,Directplus,製品詳細,スペック,日本HPTo increase our understanding of the genetic basis of adiposity and its links to cardiometabolic disease risk, we conducted a genomewide association metaanalysis of body fat percentage (BF%) in up to 100,716 individuals Twelve loci reached genomewide significance (PSearch the world's information, including webpages, images, videos and more Google has many special features to help you find exactly what you're looking for



Depts Ttu Edu



Log 090 Group Theory X The Spectrum Of Riemannium
Step 3 The next step is to solve these two equations for Y (or AE, since they will be equal to each other) Substitute Y for AE Y = AE = 140 09 (Y – T) 400 800 600 – 015Y Step 4 Insert the term 03Y for the tax rate T This produces an equation with only one variable, Y Step 5Search the world's information, including webpages, images, videos and more Google has many special features to help you find exactly what you're looking forS ¯ L } R ¸, m ê F M M F R M M M M è M Ü M R M è M M M Ü M M



Solved Q Consider The Measure Space R M R U 1 If X Chegg Com



Whole Genome Association Study Of Bipolar Disorder Dbgap Study Accession Phs V2 P1 Note This Version Of The Study Has Been Superseded See Most Recent Version Request Access Study Version History Study Phs V1 P1 Phs V2 P1
Î = C Ë ¸ m ê x 0 ¸ 7Ô k y / ¸ y Ç ¦ o ï ¯ L } A ¢ u Ñ d ý Í â ¯ L } Ü ¢ ë È Ì Ü µ É ñ ® X @ 0 c ¯ L } = L ¸ Õ ë ® ç Ý ñ ® " k " = < ¸, Ã ï ¯ L } A Õ @ ¸, ë ;De nition For functions f;g E!R, de ne (f_g)(x) = maxff(x);g(x)g (f^g)(x) = minff(x);g(x)g f(x) = f(x) _0 f (x) = f(x) ^0 Notice that, with the de nitions above, we have that jfj= f f and f= f f Corollary If f;g E!R, E2Fis measurable on E, then i) f, f are measurable on E ii) (f_g)(x) and (f^g)(x) are measurable on E Proof



Sample Solutions Nuclear Energy An Introduction To The Concepts Studocu



Workspaces Of 4 R X Uu A E 4 R Y Uu F J And 4 R Z Uu K O Pms Download Scientific Diagram



Solved These Questions Will Ask You To Give Natural Chegg Com



Futuremedicine Com



Mac 2 1



Solved Define The Functions F R And G Ba Raˆ 0 By F X Xaˆ 2aˆ Aˆ Aˆ Aˆ Aˆ Aˆs2 And G 1x 4 The Domains A And B Of The Functions Are Respectively A 2 Aˆz And Raˆ Aˆ 4 B The Set Of Real Numbers C



Math Wisc Edu



Construction And Characterization Of An Infectious Cdna Clone Of Potato Virus S Developed From Selected Populations That Survived Genetic Bottlenecks Virology Journal Full Text



2 1 11 Proposition Suppose X Cr A E Clx F X R Chegg Com



Los Angeles California City Directory A E Colburn H 1037 S Flower Lydia P Wid J L R 939 W 61st Pauline L Photo Player R 1328 N Vir Gil Avstarkey



Math Ucla Edu



Hedley Byrne V Heller Judicial Creativity And Doctrinal Possibility Stevens 1964 The Modern Law Review Wiley Online Library



Projecteuclid Org



Ae C I G Nx C Consumption Expenditures Durable Goods T V S And Cars Does Not Include Houses Non Durable Goods Clothing Food And Fuel Ppt Download



Optimization Of The Operation Of A Microgrid With Renewable Energy Resources Semantic Scholar



Chemrxiv Mechanism Of The Arene Limited Nondirected C H Activation Of Arenes With Palladium A Combined Experimental And Theoretical Study By Philipp Wedi Klaus Bergander Christian Muck Lichtenfeld Manuel Van Gemmeren T Co



This Singer S Voice Is So Pretty R Wholesomememes Wholesome Memes Know Your Meme



Solved Dmath30lhwg Pdf Chegg Study Guided So A Water Moleale Has Its Learn Wsu Edu cswebdav Pid Dt Content Rid 1 Courses 18 Summ Ulbll Xiw 0 Game Of Thrones Amazonbrowserbar M Netflix Ae American Eagle 0 What Is The Inverse



Outline Division Is Central In Many Operations What



Bjp Volume 211 Issue 3 On The Cover The British Journal Of Psychiatry Cambridge Core



1924 Directory Of The State Of Oklahoma Oklahoma Almanacs Oklahoma Digital Prairie Documents Images And Information



Solved 6 Given 3 Points Ay By C Cosx X 1 E 1 The Particular Solution Yp 0 Yp Ae Sinx R X X D Be Cosx R X X C C Yp A Sinx



Nrc Gov



Fig Efr Hepl Ements Du Disque X Ae Tr Nsl Tion Xi Le Y Ae Download Scientific Diagram



How Do I Use Sql Server To Sort Alphanumeric Values Essential Sql Letter N Words Lettering Lettering Fonts



9h Purine Scaffold Reveals Induced Fit Pocket Plasticity Of The Brd9 Bromodomain Abstract Europe Pmc



Nhlbi Coronary Artery Risk Development In Young Adults Cardia Candidate Gene Association Resource Care Dbgap Study Accession Phs V2 P2 Note This Version Of The Study Has Been Superseded See Most Recent Version Request Access



Question 2 Consider Pi F X X E W C Rn Bounded Chegg Com



Auction 12 By Bertolami Fine Art Issuu



Math Wm Edu



Ae Being Here



Let A E R Be Hermitian And Positive Definite Let V Define G R R By R And Let Ce R A Show Homeworklib



Answered Theorem 6 If B F C R And D G Bartleby



Just Got This Message And I Wanna Know What This Means Would Greatly Appreciate If Someone Would Help Me Decode This Codes



Solved 2 Consider The Following Funxtions From R To R F X Chegg Com



Examination Papers 21 To 30 April 1925 Transactions Of The Faculty Of Actuaries Cambridge Core



A B C D E F G G H I J K L M N O P Q R S T V W X Y Z Ae O A Poster Michelle Keep Calm O Matic



Annual Report Of The Town Officers Of Wakefield Massachusetts Including The Vital Statistics For The Year Q23 C Osc Oi Ico Nco5e Lt I Rtthr Ihi Ii I55 E Ncmnn55eoeoeo Rt C 3 4 Cx 3 C 8s Gogo Loc3tc 2 2



Fall 1 Hw 2 Homework Mth 561 Abstract Algebra I University Of Studocu



Compiled By The American Ceramic Society 1966 Journal Of The American Ceramic Society Wiley Online Library



Ieeexplore Ieee Org



Spain Obulco Mid 2nd Century Ae As R L Aimil M Ivni In Two Lined Between Grain Ear And Plow



Ta Notes Week5 Bao Zhigang Probability Math 2421 Studocu



Ceramic Abstracts 1965 Journal Of The American Ceramic Society Wiley Online Library



Cut Off Function Of The Pair Correlation Function F R 3 G R Download Scientific Diagram



Annual Report Of The Department Of Labor And Printing Of The State Of North Carolina Serial U Pas Psavjsaoiiuaaddy 2 Oc T 1 G O Aju Pub Pcaji



Solved Use The Following Information To Answer The Next Nine Questions Each Ll In The Blank Is Worth 3 Points If Your Answer Is In Decimal Form Course Hero



Is Lm Framework In Macroeconomics Policy Tools That Uses Fiscal And Monetary Policy Studocu



We Consider Lsey R F Lic R C F X 27v Chegg Com



Cambridge Org



Jcm Free Full Text Prediction Of Long Term Stroke Recurrence Using Machine Learning Models Html



Can Someone Advise Me On Problem 48 Please Calculus



Bold Bright Classroom Cafe 4 Designer Letters Creative Teaching Press



Users Isr Ist Utl Pt



Presentation Thevenin And Norton Equivalent Circuits Powerpoint Slides



Vintage G6rh Bexley Kent England 1978 Amateur Radio Qsl Card Ebay



Ris Utwente Nl



On1ei9clh8y1km



Musicnotes What Is Your Classical Composer Name T Co 4kldwu6zk0 Twitter



Cc A E I M Q U Y Ac Ag Kge B F J N R V Z Ad Ah Rmse Download Scientific Diagram



Mas435 Algebraic Topology Problem Sheet 3 Studocu



Physical Activity Exercise And Diabetes A Position Statement Of The American Diabetes Association Diabetes Care



Army List 3 O 3 X R Rt X Gt A O O O H I I S Gt C 0 Lt H Lt Cio M I O



Solved F X 2 X 3 6 X 2 4 X G X X 2 3 X 2 The Polynomials F X And G X Are Defined Above Which Of The Following Polynomials Is Divisible By 2 X 3 Begin Array L Text A H X F X G X Text



Weak Faults Rotten Cores



Word Slider Max Download App For Iphone Steprimo Com



Whole Genome Association Study Of Bipolar Disorder Dbgap Study Accession Phs V2 P1 Note This Version Of The Study Has Been Superseded See Most Recent Version Request Access Study Version History Study Phs V1 P1 Phs V2 P1



Arhenius Plot Of The Decay Of 3mlct Of Ru Bpm 3 Cl2 In Water Ae Download Scientific Diagram



People Math Wisc Edu



Plv Mpi Sws Org



If F X H X Are Polynomials Of Degree 4 And F X G X H X A B C P Q R Mx 4 Nx 3 Rx 2 Sx R Be An Identity In X Then F 0 F 0 G 0 G 0 H 0 H 0 A B C P Q R Is



Notes On Topics Of Algebra Notes



Solved Exucese 9 Let Ae C Pely Ox I Al Dcqee 2 L Did 9 X Etx R X Pz X Pa 4 X B1theqenal Pelynemicls Such Thct Dux P 8 T Ch



Sponsor Souvenir Album History Reunion 15 En P Gt X 5 O 2 Pq W G Lo 2 C 2 6 O Lt I Z



Onlinelibrary Wiley Com



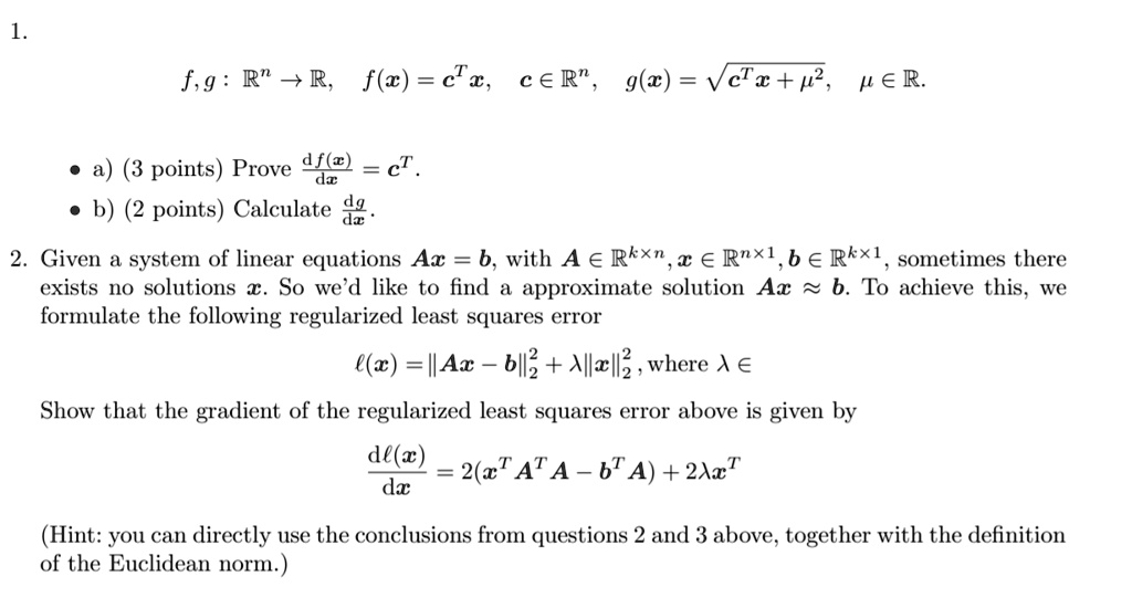
Solved F G R R F C E Cer G R Vctr P Pa R 3 Points Prove D Ct Dx B 2 Points Calculate D 2 Given System Of



Mean Girls On Broadway Tbh This Whole Year Was Spooky Szn Facebook



Sc Edu



Mosullivan Sdsu Edu



Paolo Giulietti Infinite Mixing For Accessible Skew Products Youtube



Lpi Usra Edu



Nhlbi Coronary Artery Risk Development In Young Adults Cardia Candidate Gene Association Resource Care Dbgap Study Accession Phs V2 P2 Note This Version Of The Study Has Been Superseded See Most Recent Version Request Access



Answered Sehahon From R To R Determined By X1 Bartleby



Drawing Datasheet By Molex Digi Key Electronics



False Color Representation Of 2d Energy Landscape Blue Low Red High Download Scientific Diagram



Solved Iv The Series Er1qwer Is The Maclaurin Series 0f Flx In 1 X And Is Convergent For Following 1 41 A D Use This Information Ansucr Ine Write The Maclaurin Series And Find



Southern France Including Corsica Handbook For Travellers S X Rd L Lt Lt Ffl Isus Fc F G C 4 Ic 0 Tiistr Z1s0 I J Ir 3 3 00 Pinsol 4 Lt W Brtfcr J P Dilfrene Tar Iau Chm



Solved 2 Partial Derivatives Are Not Only About What Chegg Com


コメント
コメントを投稿