上 RR Q[ XNb` 244392
Zu zeigen ist, dass die Funktion $$ f \mathbb{Q} \to \mathbb{Q} $$ definiert durch $$ f(x)= \ $$ \mathbb{R} $$ Wie geht man damit um? · Replace A, B and C with their given values to get A − (B − C) = q − r (r − s) (q − s) = q − r r − q = 2q 2r = 2(q r) Answer E Cheers, Brent _____ Brent Hanneson – Creator of greenlighttestprepcom Sign up for GRE Question of the Day emails Signature Read More gmatclubot NEW TOPIC POST REPLY Question banks Downloads My Bookmarks ImportantQ X N B ꏊ @ \ j n x m _ 33 M i h O R s P Q x j H ̗ c q Y 31 h
Http Www Math Ust Hk Majhu Math3 Rudin Homework2 Pdf
RR Q[ XNb`
RR Q[ XNb`-Radium RXQ 15W/7 Energiesparlampe Ralux Quick 15 Watt E27 Energieklasse A Marke Radium Preis 12,95 € Preisangaben inkl USt Abhängig von der Lieferadresse kann die USt an der Kasse variieren Weitere Informationen Erhöhen Sie Ihren Einkauf Dieser Artikel passt für Ihre Geben Sie Ihr Modell ein, um sicherzustellen, dass dieser Artikel passt bis zu 80%Google's free service instantly translates words, phrases, and web pages between English and over 100 other languages



2
Name Klasse Datum Vögel In diesem Suchworträtsel sind 13 Begriffe versteckt Die Wörter können waagerecht, senkrecht, diagonal, vorwärts oder rückwärts vorkommenR ܂ł́A Q O P W N x M V ̃o b e i ki e o b e 66 u40mA ȉ i z ŕʁ 8,000 ȓ j J w Ȃ jExploring N R B Q 1 – 50 of 7,0 Prev Next Sort Relevance Latest Additions Latest Edits Title, AZ Title, ZA Most Collected Most Wanted Hot
Statistik und Simulation mit R (R 2) Wintersemester16/17 und Lineare Modelle mit R Regression und Varianzanalyse (R 3) Sommersemester17 sowie Ausgew¨ahlte statistische Verfahren mit R (R 4) Wintersemester17/18 Dr Gerrit Eichner Mathematisches Institut der JustusLiebigUniversit¨at Gießen Arndtstr 2, D Gießen, Tel 0641/ EMailMitglieder Alle Mitglieder 👪; · R&R als weißen R&B zu klassifizieren ist arg verkürzt und deswegen ziemlich falsch Rockabilly ist kein R&B Was in den letzten Jahren, da der Begriff verstärkt wieder auftaucht, wirklich damit gemeint ist, hat sich mir noch nicht ganz erschlossen Wenn es wieder ein Sammelbegriff sein soll für alles Schwarze, dann ok Rossi, „himmelstürmender Sound" habe ich
Der Binomialkoeffizient ist eine mathematische Funktion, mit der sich eine der Grundaufgaben der Kombinatorik lösen lässt Er gibt an, auf wie viele verschiedene Arten man bestimmte Objekte aus einer Menge von verschiedenen Objekten auswählen kann (ohne Zurücklegen, ohne Beachtung der Reihenfolge) Der Binomialkoeffizient ist also die Anzahl der elementigen Teilmengen einer^ ~ _ u f b L V V Q \ ł B o b e E j b J h j b P f 72V3700mA ȉ ̃X g g p b N @ J w Ȃ E ^ ~ No @LF66V E ^ ~ No @LFV E R X G i W No FNP2 05 @DASH @LiFe @ A123 @66V E R X G i W No FNP2 · formula a formula object, with the response on the left of a ~ operator, and the terms, separated by operators, on the right tau the quantile(s) to be estimated, this is generally a number strictly between 0 and 1, but if specified strictly outside this range, it is presumed that the solutions for all values of tau in (0,1) are desired In the former case an object of class "rq" is



Answered Sets Worksheet 1 1 State Whether Each Bartleby



Solved 1 Point Let R X Where P And Q Are Polynomials O Chegg Com
MMMM MKKM M s セ@ '6"D3 | セ NN|M GサQ G 」NjLKQセ ⦅ P|NmNNN」NNNGMBN@ キセィy|N⦅@ セ Q NNQA⦅@ r°'· r VonStatistik und Simulation mit R (R 2) Wintersemester15/16 und Lineare Modelle mit R Regression und Varianzanalyse (R 3) Sommersemester16 sowie Ausgew¨ahlte statistische Verfahren mit R (R 4) Wintersemester16/17 Dr Gerrit Eichner Mathematisches Institut der JustusLiebigUniversit¨at Gießen Arndtstr 2, D Gießen, Tel 0641/ EMail · Hier sollte eine Beschreibung angezeigt werden, diese Seite lässt dies jedoch nicht zu



Polynomial Rings Lecture Notes Maths Prof Michael Vaughan Lee Docsity



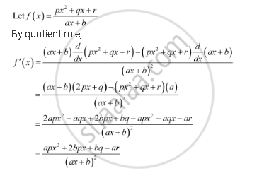
Misc 9 Find Derivative Px2 Qx R Ax B Chapter 13
Design und ImplementationsFehler in den WLANStandards haben zur Folge, dass ein entfernter Angreifer unberechtigt Pakete in gesicherte Funknetze einschleusen kann Das Problem tritt bei der Verarbeitung von NetzwerkFrames aus Laut WLANStandards können Frames zu größeren Blöcken zusammengefasst werden Hierbei kommt es allerdings zu mehrerenL osungsvorschlag a) Ist r= 1, so folgt auch p= q= 1 Wir zeigen f ur diesen Fall zun achst zwei allgemein bekannte Hilfsaussagen (i)Falls jf(x)j Cf ur fast alle x2X, so gilt auch kfk L1 C;R * r " 6 0 , h 0 , h h 0 , 0 , 7 s 9 r t;



Problem 7 8 Given A Field K Say K R Or K C Chegg Com



Q1 Here R Is The Set Of Real Numbers And Q Is The Chegg Com
R&Q R&Q ist das bekannteste Derivat, welches 04 erschien Mit R&Q wurde eine konkurrenzfähige Version von &RQ geschaffen, welche die gängigsten Funktionen wie unter anderem xStatus, unsichtbare Kontakte finden und Proxyunterstützung unterstütztBedeutungen für die Abkürzung "S P Q R, SPQR, SPQR" Alle Bedeutungen im Überblick Ähnliche Abkürzungen zu S P Q R, SPQR, SPQR Abkürzungen · As a result if you print "\r\n" to a windows file you will get the sequence "\r\r\n" in the physical file (have a look with a hex editor) Of course this is real pain when it comes to transferring files between platforms Now if you are writing to a network stream then I would do this manually (as most network protocols call this out specifically) But I would make sure the stream is not



Urgent If The Zeroes Of Polynomial Px 2 Qx R Are Of The Form B B 1 And B 1 B Then The Value Of Brainly In



Link Springer Com Content Pdf 10 1007 2fb133 15 Pdf
· w = s(pr)(qr) = (psrs)(qr)=pqsprsqrsrs = pq(rr')sp(qq')rs(pp')qrs(pp')rs = pqrspqr'spqrspq'rspqrsp'qrsprsp'rs = pqrspqr'spqrspq'rspqrsp'qrsp(qq')rsp'(qq')rs = pqrspqr'spqrspq'rspqrsp'qrspqrspq'rsp'qrsp'q'rs Notice how I expanded out the expression above Now we get rid of the duplicate terms =pqrspqr'spq'rsp'qrsp'q' ' u 1 n 1 7 k?V R r Y q O X g ̃Z N g V b v v h r g/ V R r Y q O X g F l ̂ 茳 ւ ͂ ܂ B T C g Œ Ă 摜 E ʐ^ i V R j E S E f U C E ͓ ̒ 쌠 ́A L ЃE C b V ɋA ܂ B



Http Math Msu Edu Siefring Mth421 S10 Hw Hw2sol Pdf



Discrete Maths Questions
· Die Funktion fR>R mit f(p/q) = 1/q fuer rationale gekuerzte p/q f(x) = 0 fuer irrationale x hat in jedem Intervall eine unbeschraenkte Schwankung (da die harmonische Reihe 1/n divergiert) und ist in jedem Intervall sogar RIEMANNintegrierbar (da sie fuer jedes irrationale x stetig ist) Und im Sinne des LEBESGUEIntegrals sind sogar voellig wilde Funktionen undB¦ b G¤ ¢ bb f % ´R« ¨R f¢ ³D¦%¶dÍNb '¨R¥s³D¢ ªi¯s¨ ¹UÇ ä ¼ ÔË£¹UÇÁbÐË£» Ç\ÌRÌ ÐË£» Ç\Ì ÙiÚ å × bØ Þ Ë %Ì î f Î ²U¥ ¸U f è Ë£»0ébê ä Ì ÎD b ¦U«D b¥ ©ªi¯ ¸Q − r = r q r = r Move all terms containing r r to the left side of the equation Tap for more steps Subtract r r from both sides of the equation q − r − r = 0 q r r = 0 Subtract r r from − r r q − 2 r = 0 q 2 r = 0 q− 2r = 0 q 2 r = 0 Subtract q q from both sides of the equation



The Differential Equation Dy Dx P X Q X Y Chegg Com



A Q J M Z O R W P I N B C L E X Drawing By Alain
1916 · Fragen zu ein und derselben Formel bitte nur einmal stellen Gilt auch für andere Fragen Hab ich mehrere Fragen zu einer Funktion die zusammen gehören dann auch dort nicht die Fragen auseinanderreißenShare your videos with friends, family, and the worldR'n'B Radio kostenlos hören Entdecke R'n'B Radiosender der ganzen Welt auf radiode Jetzt direkt per Webradio online hören



Find The Derivative Of The Following Functions It Is To Be Understood That A B C D P Q R And S Are Fixed Non Zero Constants And M And N Are Integers



2 9 V U Large Integer Prod Largeinteger
· Das R² ist ein Gütemaß der linearen Regression Es gibt an, wie gut die unabhängigen Variablen dazu geeignet sind, die Varianz der abhängigen zu erklären Das R² liegt immer zwischen 0% (unbrauchbares Modell) und 100% (perfekte Modellanpassung) Zu beachten ist, dass das R² ein Gütemaß zum Beschreiben eines linearen Zusammenhangs · Q ist dicht in R Beweisführung developer Ehemals Aktiv Dabei seit 1407 Mitteilungen 318 Themenstart Hallo!' ' u 1 n 1 7 k?



2 9 V U Large Integer Prod Largeinteger



Faculty Math Illinois Edu Rdeville Teaching 500 500 Spr Hw7s Pdf
1978 @ @ q w ɂē i 1980 @ @ M א ɂČ W 1981 @ @ n 쎵 W ɂē I i jBeispiel 17 (Grenzwerte rationaler Funktionen) Seien p,q R → R Polynome vom Grad m,n ∈ N0, das heißt f¨ur alle x ∈ R gilt p(x) = a mxm a m−1xm−1 a0 und q(x) = b nxn b n−1xn−1 b0, wobei a i,b j ∈ R mit a m,b n 6= 0 Wir bestimmen im Fall m ≤ n das Verhalten von p(k)/q(k) f¨ur k → ∞, und zwar liefert mehrfache Anwendung der Konvergenzregeln in Satz 13 p(kR * r " 6 0 , h 0 , h h 0 , 0 , 7 s 9 r t;



Iii A 1 N A Add Quad P P Q Q Q Quad R And R R P N B Add Quad 2 X Z X Y And 2 Y Z Y X N C Subtract 3 L L 4 M 5



1 Prove That The Empty Set Is A Subset Of Every Set Pdf Free Download
Mfg Niels Sotux (Sotux) Erfahrenes Mitglied Benutzername Sotux Nummer des Beitrags 258 Registriert 0403 Veröffentlicht am Sonntag, den 01 Februar, 04 1112 Hi, warum argumentierst du nicht einfach mit derIn elementary algebra, the binomial theorem (or binomial expansion) describes the algebraic expansion of powers of a binomialAccording to the theorem, it is possible to expand the polynomial (x y) n into a sum involving terms of the form ax b y c, where the exponents b and c are nonnegative integers with b c = n, and the coefficient a of each term is a specific positive · R\Q dicht in R wir sollen zeigen, dass die Irrationalzahlen dicht in R liegen, dass also für a



Www Emis De Journals Hoa Ijmms Volume07 Pdf



Polynomials Vanishing Boris Aronov And Micha Sharir Ppt Download
This is a homework problem for my Real Analysis course and I am having trouble getting started in the right direction I understand the definition of the set of rational numbers and how $\mathbb{R}\mathbb{Q}$ is the set of irrational numbers, but I am having trouble making the leap to where qx is an element of the set of irrational numbersDifferent texts (and even different parts of this article) adopt slightly different definitions for the negative binomial distribution They can be distinguished by whether the support starts at k = 0 or at k = r, whether p denotes the probability of a success or of a failure, and whether r represents success or failure, so identifying the specific parametrization used is crucial in any givenHere p(x) is called the dividend, d(x) the divisor, q(x) the quotient, and r(x) the remainder Theorem (Rational Zeros Theorem) Let f(x) = a nx2 a n 1xn 1 a 1x a 0 be a real polynomial with integer coe cients a i (that is a i 2Z) If a rational number p=q is a root, or zero, of f(x), then p divides a 0 and q divides a n 3 Theorem (Intermediate Value Theorem) Let f(x) be a real



Solutions Manual For An Introduction To Abstract Algebra With Notes T



Amazon In Buy Latin Letters A P Z B O E S M X D G U V W N H T R Q K F Y List Of Latin Letters Latin Letters
(ii) jf(x)j kfk L1f ur fast alle x2X Zu (i) Wir wiederholen kurz die De nition des wesentlichen Supremums Es gilt kfk L1= inf r 0 (jfj>r) = 0 = inf r 0 jfj r fast uberall Falls jfj C fast · Ich habe mir folgendes überlegt Q^=Q\union\ \pd\ Q \pd\ Q=\IR \\ Q =>Q^=Q\union\ (\IR \\ Q)=\IR Ich bin euch über jeden Ansatz dankbar, dlWei Nachricht wurde editiert von dlWei am 1357 Notiz Profil Curufin Senior Dabei seit Mitteilungen 1690 Wohnort Stuttgart Beitrag No1, eingetragen Hallo, \ du nutzt aus, dass der(If pivoting is used, some of the coefficients will be NA) qrqy and qrqty return Q %*% y and t(Q) %*% y, where Q is the (complete) \(\bold{Q}\) matrix All the above functions keep dimnames (and names) of x and y if there are any solveqr is the method for solve for qr objects qrsolve solves systems of equations via the QR decomposition if a is a QR decomposition it is the same as solve



2 9 V U Large Integer Prod Largeinteger



Http Www Math Niu Edu Beachy Abstract Algebra Guide Section 41prob Pdf
In der Analysis I VO kam folgendes \ Prop Seien r sr>0 \exists\ n\el\ \IN mit 1/n sr Dieser Teil ist noch klar, kleine Umformung der Ungleichung und dann das archimedische Axiom (a 0) Weiters wird im Beweis eine Menge vonTexture Packs Review Minecraft Pe, Servers Review, PvP, Skywars, Clients Metas 2k 5k 10kAlle Fragen Neue Fragen 🙋;



2



Bases For Quantum Algebras And Skew Poincare Birkhoff Witt Extensions
Man zeige, dass es dann eine stetige Funktion f~ R !R gibt mit f~(x) = f(x) fur alle x 2Q 3 Zeigen Sie, dass f~ in Teilaufgabe 2 eindeutig bestimmt ist, das heiˇt sei g R !R eine weitere stetige Funktion mit g(x) = f(x) fur alle x 2Q, so ist f~= g Ubung 2 (33 Punkte) 1 Sei a 2R mit a > 0 Fur m=n 2Q mit m 2Z und n 2N setze man am=n= n p am Zeigen Sie, dass die Funktion f Q !R;x 7QBR 454 likes · 1 talking about this "Che io mi ricordi, ho sempre voluto fare il gangster"Wenn R\Q dicht in R ist, dann ist der Abschluß von R\Q=R also sind alle reellen Zahlen Berührpunkte von Irrationalen Zahlen Wie geht es weiter mit dem Beweis?



Users Math Msu Edu Users Jhall Classes Codenotes Specalg Pdf



On Computing High Accuracy Solutions Of A Class Of Riccati Equations
· The possibility of an event can be conveyed as a binomial probability if its conclusions can be wrecked down into two probability of p and q, where p and q are balancing (ie p q = 1) Binomial Probability Formula Explained The probability of getting exact value of k in n trials is given by using the formula, `P(X = x) = ((n),(k)) p^k q^(nk) `



6 Let P Q R And S Be The Functions P 1 2 Chegg Com



Www Math Clemson Edu Macaule Classes M Math41 Hw M Math41 Hw14 Pdf



Misc 8 Find Derivative Ax B Px2 Qx R Class 11



Q Bernstein Schurer Kantorovich Operators Topic Of Research Paper In Mathematics Download Scholarly Article Pdf And Read For Free On Cyberleninka Open Science Hub



7 Represent Each Of The Following On Their Own Gauthmath



Answered Consider The Given Diagram Find A Bartleby



Royalsocietypublishing Org Doi Pdf 10 1098 Rstl 1778 0043



Consider Sets A X N 1 Q X 7 2 And B Gauthmath



Chapter 4 Notes



2 9 V U Large Integer Prod Largeinteger



Imomath Com Othercomp Vie Viemo03 Pdf



Le Ac Uk Media Uol Docs Academic Departments Mathematics Outreach Fmsp Y13 Challenge Problems 107 Pdf



Section 3 5 Polynomial Functions



Www Ucl Ac Uk Ucahmki Quotient Pdf



Www Jstor Org Stable



Http Www Math Ust Hk Majhu Math3 Rudin Homework2 Pdf



1 Prove That The Empty Set Is A Subset Of Every Set Pdf Free Download



Real Number Wikipedia



Clarification For Proof Of Mathbb Q Being Dense In Mathbb R Rudin S Pma Mathematics Stack Exchange



Http Math Cmu Edu Cargue Arml Archive 17 18 Algebra 09 10 17 Pdf



Math Unm Edu Sites Default Files Files Qual Exams Algebra Unm Exam 1301 Alge Qual Pdf



To 64 Consider The Function Y F X X2 6x 5 Q 32 The Math



2



The Remainder Theorem If A Divides B With Quotient C And



Discrete Maths Questions



Solved Exercise 1 Let P R And Q X Be Propositional Fun Chegg Com



22 10 12 10 If P X 140 40 0 Q X 5x 6 0 R 1 172



Find The Derivative Of The Following Functions It Is To Be Understood That A B C D P Q R And S Are Fixed Non Zero Constants And M And N Are Integers



Problem 1 For P2 1 Let Ip Z Denote The Linear Chegg Com



A Total Pair Distribution Function G R And B Structure Factor Download Scientific Diagram



Www Jstor Org Stable



Http Www Csulb Edu Rmena Algebra Essen9 Pdf



Icu Hsuzuki Github Io Science Class Algebra2 Exams Final10 Pdf



Http Www Math Washington Edu Toro Courses 06 07 524 Answer To Hw1 Pdf



Figu Re 3 A An D B D Ata Sam P Le Fo R Statio N S S Q X An D S Download Scientific Diagram



Web Northeastern Edu Dummit Teaching Fa19 1365 1365 Midterm 1 Review Problems Pdf



Http Www Auburn Edu Huanghu Math73 73 Ch1 Pdf



Exercise 1 A Let P X Q X And R X Be Chegg Com



Putnam Training Polynomials Exercises 1 Find A Polynomial With Integral Coefficients Whose Zeros Include Pdf Free Download



2



2



Http Www Bath Ac Uk Gt223 Ma012 Lec4 Pdf



Solved Homework 6 Introduction To Analysis Math 104 Docsity



Digital Transmission Fundamentals Ppt Download



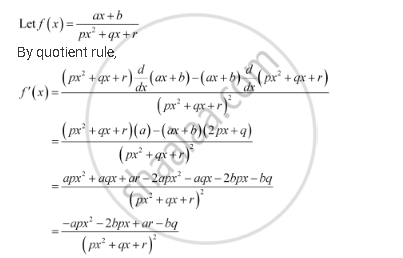
Misc 3 Find Derivative Of Px Q R X S Teachoo



Answered P X Be The Rational Function Graphed Bartleby



Histology 1 3 And Immunohistochemistry A X 1 A H Pn0 2 Download Scientific Diagram



Mas241 Homework 3 Studocu



Polynomials Abstract Algebra Solved Exam Docsity



Primizie Di Canto Fermo 1 53 L3 M 4 0 I M 3 M 4 0 M R Vfeg A Xc G X2t Dfe E Q Mp Tmm M Cc



Http Www Math Cuhk Edu Hk Course Builder 1718 Mmat5210 Chapter 6 Pdf



T Pm N 19 Solving The Schr Odingerequation Prezentaciya Onlajn



15 Problems On Introduction To Discrete Math Exam 3 Math 2534 Docsity



Rational Number Wikipedia



Sessional Papers Of The Dominion Of Canada 1914 O C 1 1 A Om C Opm Pi3 Ou C O I L Pl C3 H P Bo Td 03



P2 Rq Mp2 Rq By A Pxq Ax 4 B A B A B A Pxq



Artofproblemsolving Com Downloads Printable Post Collections 3493



Sturm Liouville Problem Suppose That The Functions P X P X Q X And R X In P X Y Q X Y Lambda R X Y 0 Quad A X B Mathematics Stack Exchange



Field Mathematics Wikipedia



Misc 3 Find Derivative Of Px Q R X S Teachoo



Chapter 4 Arithmetic In F X Polynomial Arithmetic And The Division Algorithm Pdf Free Download



Continuous Wave X Band Top And Q Band Bottom Of 2 R Black With Download Scientific Diagram



Http Www Cs Elte Hu Nagyzoli Poly Sari Pdf



A New Practical And Easy Method Of Learning The German Language Y Y I J Y Lt A X 9 L I Xu German Cupital Zeiters



Iterative Algorithm For The Reflexive Solutions Of The Generalized Sylvester Matrix Equation Springerlink



Www Jstor Org Stable



If The Roots Of The Equation Px 2 Qx R 0 Are In The Ratio L M Then Brainly In



Arxiv Org Pdf 1806



1 Prove That The Empty Set Is A Subset Of Every Set Pdf Free Download



Http Www Ucl Ac Uk Ucahmki 3704sheet3 Pdf



Consider Sets A X N 1 Q X 7 2 And B Gauthmath



Regional Mathematical Olympiad Paper Notes


コメント
コメントを投稿